

Розглянемо графік рівняння одиничного кола х2
+ у2 = 1, з центром в точці
(0; 0) і радіусом R=1 в прямокутній системі координат ХОУ.
Уявимо, що по цьому колу обертається точка
М(х; у). Визначимо точку, яка буде
називатися початком обертання.
Означення. Точку перетину одиничного кола х2 + у2 = 1 з додатним напрямом осі Ох (абсцис) А(1; 0) вважатимемо початком
руху точки М(х; у) по одиничному колу.
Визначимо додатний і від’ємний напрям
обертання. Уявіть, що ми провели числову пряму , як дотичну до кола в А(1; 0).
Тепер вважатимемо, що числова пряма є ниткою і накручуємо цю нитку на одиничне коло х2 + у2 = 1. Від точки А(1; 0) проти часової стрілки накручується додатна
частина числової прямої. Цей напрям називають додатним напрямом руху точки М(х; у) по одиничному колу.
Від точки
А(1; 0) за часовою стрілкою накручується від’ємна частина числової
прямої. Цей напрям називають від’ємним напрямом руху точки М(х; у) по одиничному колу.
Місце
положення точки М(х; у) на одиничному
колі можна виразити не тільки абсцисою х та ординатою у. Вкажемо, ще один спосіб знаходження місце
положення точки М на одиничному колі. Наприклад,
уявімо, що на числовій прямій, що намотується на одиничне коло, позначили не
числову, а градусну міру, як в додатному так і у від’ємному напрямі, Зрозуміло, що нульовий
градус потрапляє у число нуль на числовій прямій, прямий кут, тобто 90о,
в додатному напрямі є число 0,5p, прямий кут за від’ємним напрямом є число -0,5p, розгорнутий кут в додатному напрямі є число p, розгорнутий кут за від’ємним
напрямом є число -p, і так далі. Так ми встановили взаємно
однозначну відповідність між градусною мірою повороту радіуса одиничного
кола відносно початку координат О(0; 0)
з числовою мірою(її часто називають
радіанною мірою кутів) на числовій прямій.
Отож, кожне положення точки М(х; у) під час руху по одиничному колу, може
задаватися однією координатою та напрямом руху, а саме градусною мірою повороту
радіуса одиничного кола, що відповідає точці на градусній прямій, яку намотали на
це коло.
Якщо точка М(х; у) рухається по колу від точки
початку А(1; 0) в напрямі проти часової стрілки до деякої точки Ра , то цей напрям руху задається як певна
величина дуги АМ(частина кола), яку вкаже додатне значення на накрученій градусній прямій.
Якщо точка
М(х; у) рухається по одиничному колу від точки початку А(1; 0) в напрямі за
часовою стрілкою до деякої точки Р-в
, то цей напрям руху задається як певна міра, величина дуги АМ(частина кола), яку вкаже від’ємне значення на накрученій градусній прямій.
Встановимо зв’язок між абсцисою х та ординатою
у точки М(х; у) і градусною мірою( а
отже і радіанною мірою) дуги АМ на одиничному колі.
Положення точки визначається однозначно, якщо
вказати довжину дуги АМ, нехай вона дорівнює х( дивись малюнок), якщо відраховувати в додатному напрямі від
початкової точки А до точки М. Коли значення х зростає від 0 до 2p, то точка М
робить повний оберт по колу в додатному напрямі.
Проміжку 0 < х < 0,5p відповідає дуга АВ, і тоді говорять, що
точка М вона знаходиться в першій чверті.
Проміжку 0,5p < х < p відповідає дуга ВС, і тоді говорять, що точка М вона знаходиться в
другій чверті.
Проміжку p < х < 1,5 p відповідає дуга CD, і тоді говорять, що точка М вона знаходиться в третій чверті.
Проміжку 1,5p < х < 2 p відповідає дуга DА, і тоді говорять, що точка М вона знаходиться в четвертій чверті.
Із точки М, що знаходиться в першій чверті,
опустимо перпендикуляр на вісь Ох, отримаємо основу перпендикуляра М1.
Розглянемо прямокутний трикутник ОММ1,
гіпотенуза ОМ = 1, кут ОМ1М – прямий. Позначимо за а кут М1ОМ. Називатимемо
катет М1О – прилеглий катет до кута а. Називатимемо катет М1М – протилежний катет до кута а.


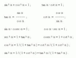
Означення. Косинусом гострого кута а прямокутного трикутника називається
відношення довжин прилеглого катета та гіпотенузи і позначається
cos а
= М1О:ОМ = х : 1 = х, де х – абсциса точки М(х; у).

Означення.
Синусом гострого кута прямокутного трикутника
називається відношення довжин протилежного катета та гіпотенузи і позначається
sin а = М1М:ОМ = у : 1 = у, де у
– ордината точки М(х; у).

Означення. Тангенсом гострого кута
прямокутного трикутника називається відношення довжин протилежного та
прилеглого катетів:
tg а = М1М:ОМ1 , tg а = (sin а) :
(cos а) .
Означення. Котангенсом гострого кута
прямокутного трикутника називається відношення довжин прилеглого та
протилежного катетів:
ctg а = М1О:ММ1, ctg а
= (cos а) : (sin а),
ctg а = 1 : tg а.
Означення. Секансом гострого кута а прямокутного трикутника називається
відношення довжин гіпотенузи та прилеглого
катета і позначається
sес а
= ОМ :М1О. sес а = 1 : cos а.
Означення. Косекансом гострого кута а прямокутного трикутника називається
відношення довжин гіпотенузи та
протилежного катета і позначається
cosес а
= ОМ :М1М. соsес а = 1 : sin а.
Звертаємо
увагу, що в означеннях фігурують гострі кути прямокутного трикутника. Для того
щоб розширити ці означення на довільні значення кутів повороту радіуса навколо
початку, можна побудувати такі ж прямокутні трикутники в другій, третій,
четвертій чвертях і отримати відповідні значення абсциси та ординати точки М(соs a; sin a).
Абсциса х і ордината у точки М, що розташована
на одиничному колі таким чином є функціями від градусу повороту радіуса
одиничного кола, і їх називають косинусом
та синусом .
А тепер згадаємо, що графік рівняння
одиничного кола х2 + у2
= 1. Враховуючи, що точка М(х; у) = М(соs a; sin a) рухалася
на цьому колі, тоді виконаємо в цьому рівнянні заміну змінних:
х2 + у2 = соs2 a + sin2 a = 1.
Означення.
Рівність соs2 a + sin2 a = 1 називається основною тригонометричною тотожністю.
Таким чином, означення основних
тригонометричних функцій має геометричний зміст, адже пов’язане з колом, тому
тригонометричні функції іноді називають круговими функціями. Однак існує інші,
формульні означення синуса та косинуса, наприклад, найпростіші із формул можуть
бути взяті степеневі ряди, в яких розуміють виконання тільки двох операцій –
додавання і віднімання, проте кількість цих дій безмежна, що рівносильно існуванню граничному переходу до певної межі.
ВЛАСТИВОСТІ ФУНКЦІЇ СИНУСА
Означення. Функцією синуса називається
функція, що задається формулою у = sin x.
В прямокутній системі координат графіком
функції у = sin x являється множина точок Г = {(x; sin x)| xєR}.
Відомо, що число p - трансцендентне,
тобто воно не може бути розв’язку деякого раціонального рівняння з
раціональними коефіцієнтами.
Звертаєтамо увагу на
те, що функція у = sin x може
приймати значення аргументу із множини трансцендентних чисел.
Функція синуса входить до множини трансцендентних функцій.
Означення. Синусоїдою називається множина точок
Г = {(x; sin x)|
xєR}.



ВЛАСТИВОСТІ
ФУНКЦІЇ у = sin x.
Область
визначення функції синуса – це множина дійсних чисел.
Позначення області визначення функції синуса: D(sin x) = R .
Множина
значень функції синуса – це множина таких дійсних
чисел, що належать числовому відрізку [-1;1].
Позначення області значення функції синуса: Е(sin x) = [-1;1].
Відрізок
[-1;1] на осі ординат називають відрізком синусів.
Функція
у = sin x непарна.

Графік функції у = sin x симетричний відносно точки (0;0).
Функція у = sin x періодична з найменшим додатним
періодом Т = 2p.
Форма графіка повторюється через 2p. Сам графік можна одержати з будь-якої частини графіка на інтервалі
завдовжки 2p за допомогою паралельного перенесення вздовж осі абсцис вліво або
вправо на 2pk, де kєZ.
Точки
перетину з осями координат.
Графік функції у = sin x перетинає
вісь абсцис в безлічі точок.
Якщо у = 0, тоді
sin x = 0;
х = pk, де kєZ.
Отже, нулі функції у = sin x:
Функція у = sin x має безліч нулів.
Точки перетину графіка функції у = sin x з віссю Ох: (pk; 0), де kєZ.
Графік функції у = sin x
перетинає вісь ординат в одній точці.
Якщо х = 0, тоді
у =sin 0 = 0;
Точка перетину графіка функції у = sin x з віссю Оу: (0; 0).
В маленькому околі точки початку координат (0;
0) синусоїда себе веде, як лінійна функція.
Проміжки
знакосталості.
Функція
у = sin x додатна, якщо
sin x > 0, х Î (2pk; p + 2pk), де kєZ.
Функція у = sin x від’ємна, якщо
sin x < 0, х Î (p + 2pk; 2p + 2pk), де kєZ.
Функція у = sin x неперевна і обмежена, тобто | sin x| ≤ 1.

Функція у = sin x неперевна і обмежена, тобто | sin x| ≤ 1.

Поведінка функції у = sin x біля початку координат (sin x ≈ х, x ® 0,)
Якщо x ® 0, то sin x® 0. Якщо x ® 0, то
® 1.

sinx
≈ x –
+
+…+
+…



Перша
похідна функції у = sin x є тригонометричною функцією для будь-якого
значення аргументу.
Нулі першої похідної y′(х)
= cos x являються
точками екстремуму
Проміжки монотонності функції у = sin x.
Функція у = sin x зростає в кожному з
проміжків
[-0,5p + 2pk; 0,5p + 2pk], де kєZ.
Функція у = sin x спадає в кожному з
проміжків
[0,5p + 2pk; 1,5p + 2pk], де kєZ.
Екстремуми
функції у = sin x.
Функція у = sin x набуває найбільшого значення, що дорівнює
ymax = 1 в точках хmax = 0,5p + 2pk, де kєZ.
Функція у = sin x набуває найменшого значення, що дорівнює
ymin = -1 в точках хmin = 1,5p + 2pk, де kєZ.
Друга похідна функції у = sin x це теж тригонометрична функція
y′′(х) =( сos x) ′ = - sin x.
Нулі другої похідної y′′ (х) = - sin x являються точками перегину
функції синуса. Проміжки, де - sin x < 0, вказують на випуклість вгору графіка функції косинуса . Проміжки, де - sin x > 0, вказують на випуклість вниз графіка функції синуса.
Проміжки випуклості функції у = sin x.
Графік функції у = sin x випуклий вгору на проміжках:
(2pk; p + 2pk), де kєZ.
Графік функції у = sin x випуклий вниз на проміжках:
(p + 2pk; 2p + 2pk), де kєZ.
Точки перегину графіка функції у = sin x: х = pk, де kєZ.
Функція у = sin x має похідні будь-якого порядку.
Для знаходження
похідної будь-якого порядку функції синуса користуються формулою:
y(n)(х) =( sin ax)(n)= an sin (a x + 0,5pn).
Первісна функції у
= sin x.
Функція у = sin x має первісну У(х)= - cos x + C.
Площа, яку обмежує синусоїда
і вісь абсцис на відрізку [a;b] обчислюється за формулою: S(sin([a;b])) ;
Площа, яку обмежує синусоїда
і вісь абсцис на своєму півперіоді дорівнює 2 кв. од.
S(sin ([-0,5p; 0,5p])) = 2
кв. од.
Площа, яку обмежує
косинусоїда і вісь абсцис на своєму найменшому додатному періоді дорівнює 4 кв.
од.
S(sin ([0; 2p])) = 4 кв. од.
Приклад










таблиця інтегралів (первісних функцій) тригонометричних функцій.
- 1 Функція, що містять тільки синус
- 2 Функція, що містять тільки косинус
- 3 Функція, що містять тільки тангенс
- 4 Функція, що містять тільки секанс
- 5 Функція, що містять тільки косеканс
- 6 Функція, що містять тільки котангенс
- 7 Функція, що містять і синус і косинус
- 8 Функція, що містять і синус і тангенс
- 9 Функція, що містять і косинус і тангенс
- 10 Функція, що містять і синус і котангенс
- 11 Функція, що містять і косинус і котангенс
- 12 Інтеграли з симетричними межами інтегрування
Немає коментарів:
Дописати коментар